Предмет: Химия,
автор: 1712nika06
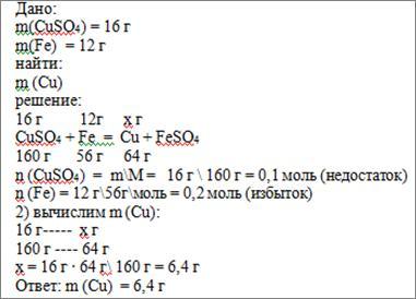
к раствору сульфата меди массой 16г прибавили Fe какая масса меди образуется?
Ответы
Автор ответа:
0
Ответ:
решение в приложении ниже
Объяснение:
Приложения:
Автор ответа:
0
Ответ:
решение можно лучший ответ пж
Приложения:
Похожие вопросы
Предмет: Русский язык,
автор: kassiopeya12
Предмет: Английский язык,
автор: АртемийTroll
Предмет: Английский язык,
автор: maratsultanbekкатя
Предмет: Английский язык,
автор: prisnik1252
Предмет: Физика,
автор: tiqer2015