Предмет: Алгебра,
автор: nisagukaeva
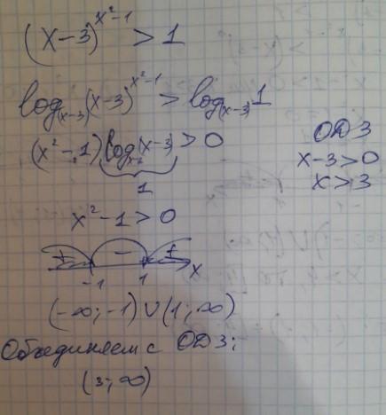
решите показательно-степенное неравенство
Приложения:
Ответы
Автор ответа:
5
Ответ:
На фото
Объяснение:
Приложения:
tamarabernukho:
Верно, только пересекаем с одз, а не об'единяем
Похожие вопросы
Предмет: Қазақ тiлi,
автор: Pandochka0821
Предмет: Русский язык,
автор: natashamirnaya
Предмет: Русский язык,
автор: zvon007
Предмет: Геометрия,
автор: dakornev5