Предмет: Алгебра,
автор: grantgraf4
помогите нада до 18:00
Приложения:
Ответы
Автор ответа:
1
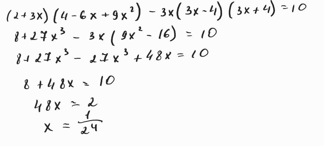
Все решение на фото.
Приложения:
Похожие вопросы
Предмет: Другие предметы,
автор: ленуся32
Предмет: Другие предметы,
автор: Асякэт1
Предмет: Другие предметы,
автор: we23
Предмет: Геометрия,
автор: tugaisvetlana