Предмет: Математика,
автор: cibatylovaanastasia
ПОМОГИТЕ ПОЖАЛУЙСТА РАЗОБРАТЬСЯ
Приложения:
Ответы
Автор ответа:
0
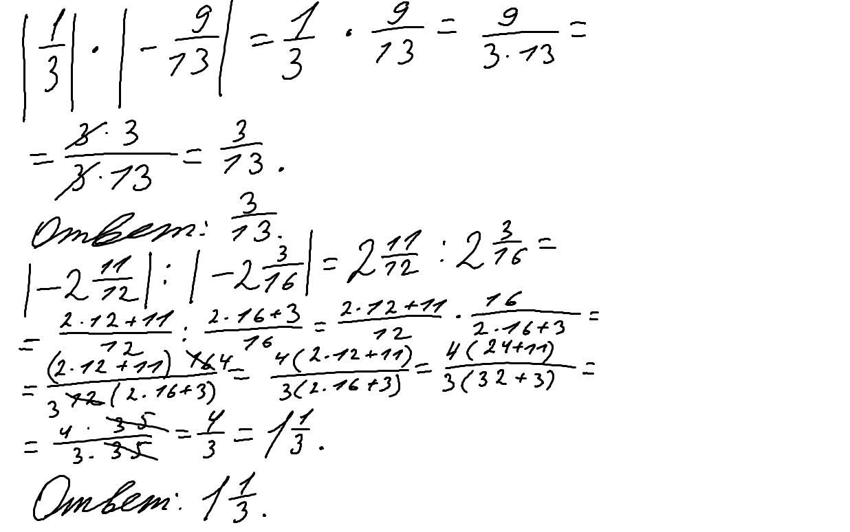
Ответ:
Пошаговое объяснение:
Приложения:
Похожие вопросы
Предмет: Қазақ тiлi,
автор: гецю
Предмет: Русский язык,
автор: sveta1984sveta2
Предмет: Русский язык,
автор: Аноним
Предмет: Биология,
автор: blackfire98