Предмет: Алгебра,
автор: Delis666
Задание на алгебре 8 класс.Помогите пожалуйста!!ДАМ 50 БАЛЛОВ
Приложения:
Ответы
Автор ответа:
1
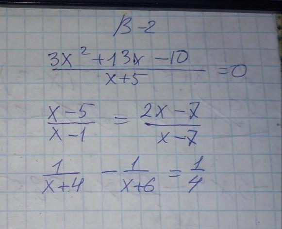
краткое решение (так как это будет лучшее решение , я знаю как рассказать подробнее, но правильней будет короче, двойки возле числа это в квадрате, не знаю как сделать сверху)
3х2+15х-2х-10/ х+5=0
3х•(х+5)-2(х+5) / x+5=0
(x+5)•(3x-2) / x+5= 0
3x-2=0
3x=2
x=2/3
3х2+15х-2х-10/ х+5=0
3х•(х+5)-2(х+5) / x+5=0
(x+5)•(3x-2) / x+5= 0
3x-2=0
3x=2
x=2/3
Похожие вопросы
Предмет: Русский язык,
автор: кузя155
Предмет: Русский язык,
автор: murka2008
Предмет: Английский язык,
автор: filberts
Предмет: Математика,
автор: Аноним
Предмет: Литература,
автор: доктор0анти0ум
это риска дроби