Предмет: Алгебра,
автор: baltaszanuzak92
алгебра помогите пж
Приложения:
Ответы
Автор ответа:
0
Объяснение:
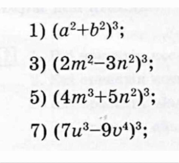
Используем формулы куба суммы и куба разности двух выражений:
1) (a²+b²)³=a⁶+3a⁴b²+3a²b⁴+b⁶
3) (2m²-3n²)³=8m⁶-18m⁴n²+18m²n⁴-27n⁶
5) (4m³+5n²)³=64m⁹+60m⁶n²+60m³n⁴+125n⁶
7) (7u³-9v⁴)³=343u⁹-189u⁶v⁴+189u³v⁸-729v¹²
Похожие вопросы
Предмет: Русский язык,
автор: Аноним
Предмет: Английский язык,
автор: rock2010
Предмет: Русский язык,
автор: galyapetrova2
Предмет: Литература,
автор: Rozaa448899
Предмет: Алгебра,
автор: maykazlatkus