Предмет: Алгебра,
автор: Violetta13
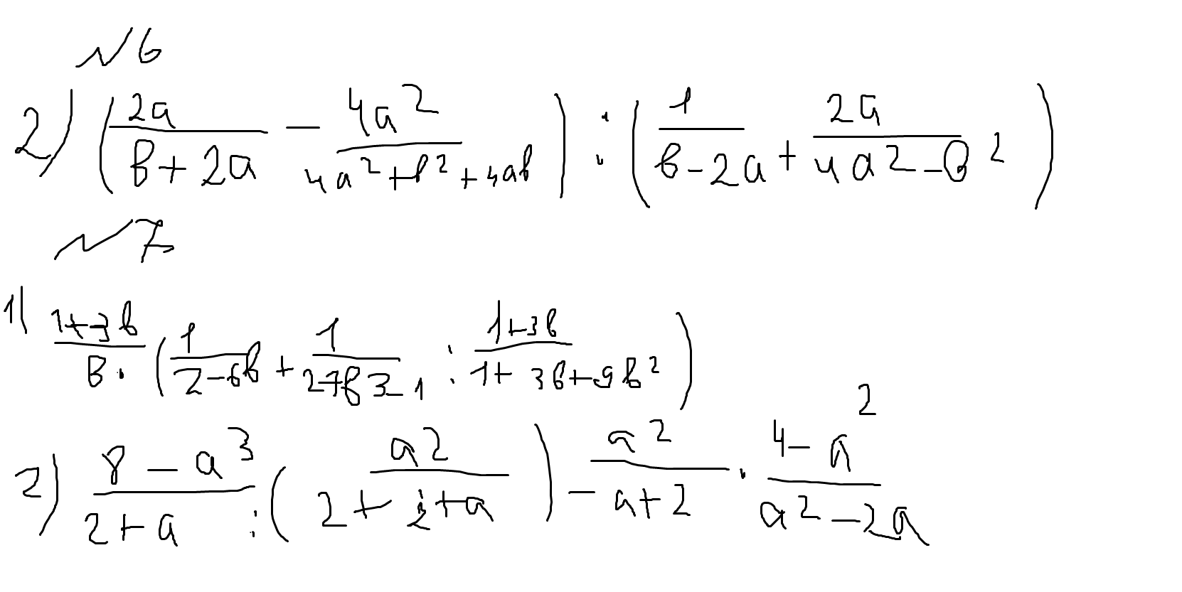
ПРошу решить. Заранее благодарна. Файлы вложены.Спасибо!!!!!!!!!!!
Приложения:
Ответы
Автор ответа:
0
Похожие вопросы
Предмет: Информатика,
автор: kseniachernova07
Предмет: Математика,
автор: karimullina08
Предмет: Русский язык,
автор: Аноним
Предмет: Математика,
автор: ARINA558899