Предмет: Алгебра,
автор: Glebushek13
Помогите срочно пожалуйста
Приложения:
Ответы
Автор ответа:
1
Объяснение:
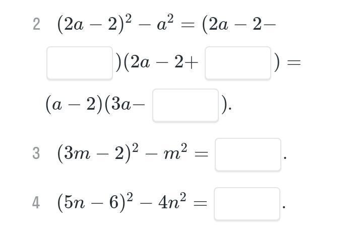
2. (2a-2)²-a²=(2a-2-a)(2a-2+a)=(a-2)(3a-2)
3. (3m-2)²-m²=(3m-2-m)(3m-2+m)=(2m-2)(4m-2)=2(m-1)(2(2m-1)=4(m-1)(2m-1)
4. (5n-6)²-4n²=(5n-6-2n)(5n-6+2n)= (3n-6)(7n-6)= 3(n-2)(7n-6)
Похожие вопросы
Предмет: Английский язык,
автор: акробатико
Предмет: Русский язык,
автор: azazazazazazazazazzz
Предмет: Русский язык,
автор: гимпель
Предмет: История,
автор: Умник21века11
Предмет: Русский язык,
автор: arbylievarbyli