Предмет: Алгебра,
автор: Аноним
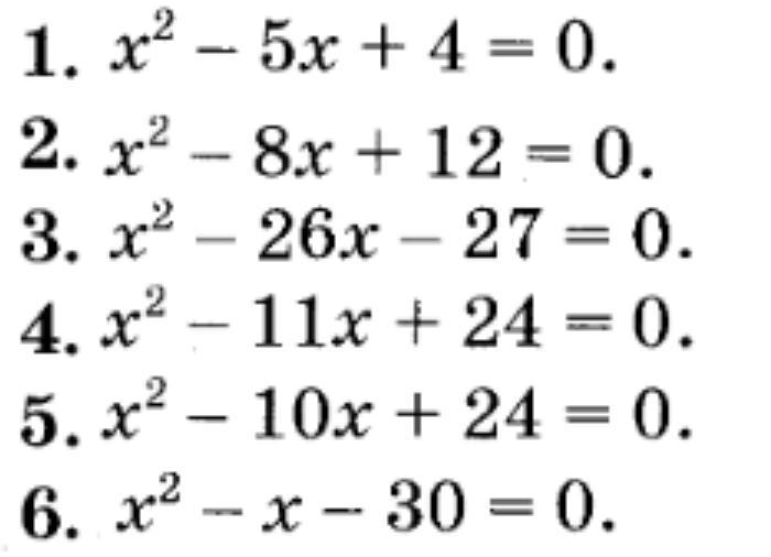
Помогите решить через виета пж решение оч прошу
Приложения:
Ответы
Автор ответа:
0
1)х=4
х=1
2)х=6
х=2
3)х=27
х=-1
4)х=3
х=8
5)х=6
х=4
6)х=6
х=-5
Автор ответа:
1
Ответ:
Объяснение:
решение внизу,все корни находим методом "подбора" так,чтобы выполнялось: х1+х1=-b х1*х2=с
Приложения:
Похожие вопросы
Предмет: Английский язык,
автор: няша197
Предмет: Другие предметы,
автор: Одиссон
Предмет: Русский язык,
автор: Настя280305
Предмет: Английский язык,
автор: sssgh
Предмет: Математика,
автор: 224571160alesi