Предмет: Алгебра, автор: tatka3873

Ребята срочно нужна ваша помощь.кто понимает алгебру 11 класс помогите пожалуйста.(заранее спасибо) пожалуйста ответ распешите

Приложения:

Ответы

Автор ответа: Universalka
2

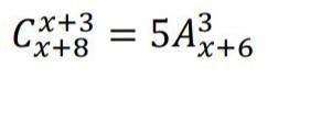
\displaystyle\bf\\1)\\C_{x+8} ^{x+3} =\frac{(x+8)!}{(x+3)!\cdot(x+8-x-3)!} =\frac{(x+8)!}{(x+3)!\cdot5!} =\\\\\\=\frac{(x+8)(x+7)(x+6)(x+5)(x+4)(x+3)!}{(x+3)!\cdot1\cdot2\cdot3\cdot4\cdot5} =\\\\\\=\frac{(x+8)(x+7)(x+6)(x+5)(x+4)}{120} \\\\\\2)\\A_{x+6} ^{3} =\frac{(x+6)!}{(x+6-3)!} =\frac{(x+6)!}{(x+3)!} =\frac{(x+6)(x+5)(x+4)(x+3)!}{(x+3)!}=\\\\\\=(x+6)(x+5)(x+4)

\displaystyle\bf\\3)\\C_{x+8}^{x+3}=5A_{x+6}^{3} \\\\\\\frac{(x+8)(x+7)(x+6)(x+5)(x+4)}{120} =5\cdot(x+6)(x+5)(x+4)\\\\\\(x+6)(x+5)(x+4)\cdot\Big(\frac{(x+7)(x+8)}{120} -5\Big)=0\\\\\\x+6=0 \  \ \Rightarrow \  \ x_{1} =-6-neyd\\\\x+5=0 \  \ \Rightarrow \  \ x_{2} =-5-neyd\\\\x+4=0 \  \ \Rightarrow \  \ x_{3} =-4-neyd\\\\\frac{(x+7)(x+8)}{120} -5=0\\\\x^{2} +15x+56-600=0\\\\x^{2} +15x-544=0\\\\D=15^{2} -4\cdot(-544)=225+2176=2401=49^{2} \\\\x_{4} =\frac{-15+49}{2} =17

\displaysile\bf\\x_{5} =\frac{-15-49}{2} =-32-neyd\\\\Otvet:17

Все корни кроме x = 17 - посторонние


tatka3873: Спасибо большое!!!!
Universalka: Пожалуйста
Похожие вопросы
Предмет: Английский язык, автор: люси310