Предмет: Алгебра,
автор: playht
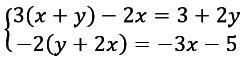
Решите систему уравнений графическим методом.
очень сильно благодарю
Приложения:
Ответы
Автор ответа:
1
Ответ:
x=1
y=2
Объяснение:
/////////////////////
Приложения:
Похожие вопросы
Предмет: Русский язык,
автор: Аноним
Предмет: Русский язык,
автор: katia25p
Предмет: Русский язык,
автор: DanikKiselev
Предмет: Математика,
автор: karina9123
Предмет: Английский язык,
автор: AlinaiAlinchik