Предмет: Математика,
автор: ddrraakkii
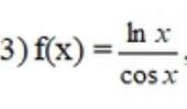
Найдите производную функции:
(90 б)
Приложения:
Ответы
Автор ответа:
1
Ответ:
Пошаговое объяснение:
//////////
Приложения:
Похожие вопросы
Предмет: Окружающий мир,
автор: Аноним
Предмет: Другие предметы,
автор: Юлиана1111111111111
Предмет: Русский язык,
автор: gog2007
Предмет: Музыка,
автор: Аноним
Предмет: Математика,
автор: arfonosmanp6nzir