Предмет: Алгебра,
автор: 2nz5sq2jg8
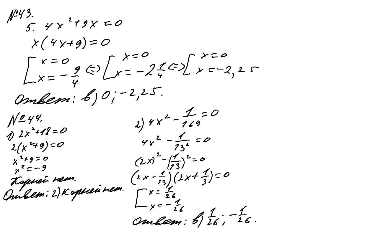
Найдите корни неполного квадратного уравнения
Приложения:
Ответы
Автор ответа:
2
Ответ: Решение и ответ приведены в прикреплённых файлах.
Объяснение:
Приложения:
Похожие вопросы
Предмет: Русский язык,
автор: Аноним
Предмет: Русский язык,
автор: sharik8
Предмет: Русский язык,
автор: ЗаяЯаз
Предмет: География,
автор: gfggffkffjddfffefffj
Предмет: Русский язык,
автор: nadezhdabelozy