Предмет: Алгебра,
автор: margaritaangelovskaa
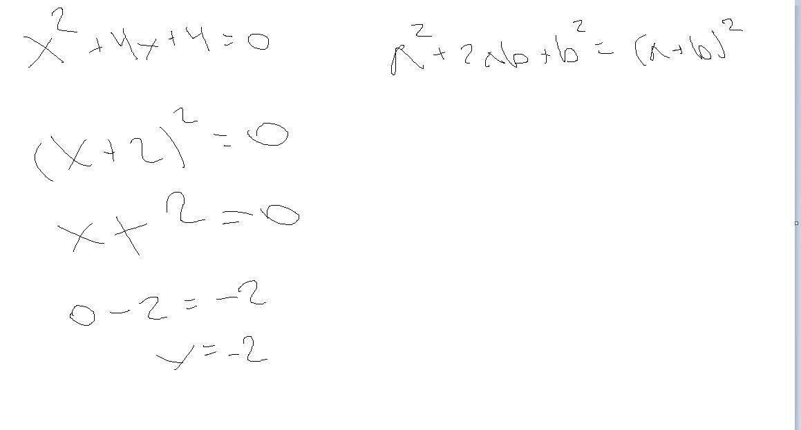
x^2+4x+4=0 Помогите пожалуйста
Ответы
Автор ответа:
0
Ответ:
x=-2
Объяснение:
Приложения:
Автор ответа:
2
х²+4х+4=0
свернём выражение по формуле квадрата суммы.
(х+2)²=0. если число в квадрате =0, то это только 0.
х+2=0
х= -2.
Похожие вопросы
Предмет: Русский язык,
автор: Artem8228
Предмет: Русский язык,
автор: TimurVuk
Предмет: Русский язык,
автор: лвлвлвлв
Предмет: Русский язык,
автор: Dragonzed