Предмет: Математика,
автор: Аноним
Чашка коштувала спочатку 16 грн, а після подорожчання 24 гривні. На скільки відсотків подорожчала чашка
Ответы
Автор ответа:
1
Ответ:
Фото
Пошаговое объяснение:
Приложения:
Автор ответа:
1
Ответ:
Пошаговое объяснение:
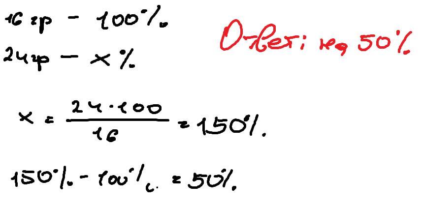
16 грн = 1 00%
24 грн = х %
16/24 = 1 00/х
2/3 = 1 00/х
х = 1 00 * 3 /2
х = 300/2
х = 150
24 грн = 150%
150 - 100 = 50 % - подорожало
Ответ: на 50%
Пошаговое объяснение:
16 грн = 1 00%
24 грн = х %
16/24 = 1 00/х
2/3 = 1 00/х
х = 1 00 * 3 /2
х = 300/2
х = 150
24 грн = 150%
150 - 100 = 50 % - подорожало
Ответ: на 50%
Похожие вопросы
Предмет: Русский язык,
автор: Никитоска132
Предмет: Русский язык,
автор: Лия100
Предмет: Английский язык,
автор: mateo7951
Предмет: Русский язык,
автор: prijmal05
Предмет: Алгебра,
автор: dimaam2