Предмет: Алгебра,
автор: aribyhin2008
СРОЧНО ПОЖАЛУЙСТА
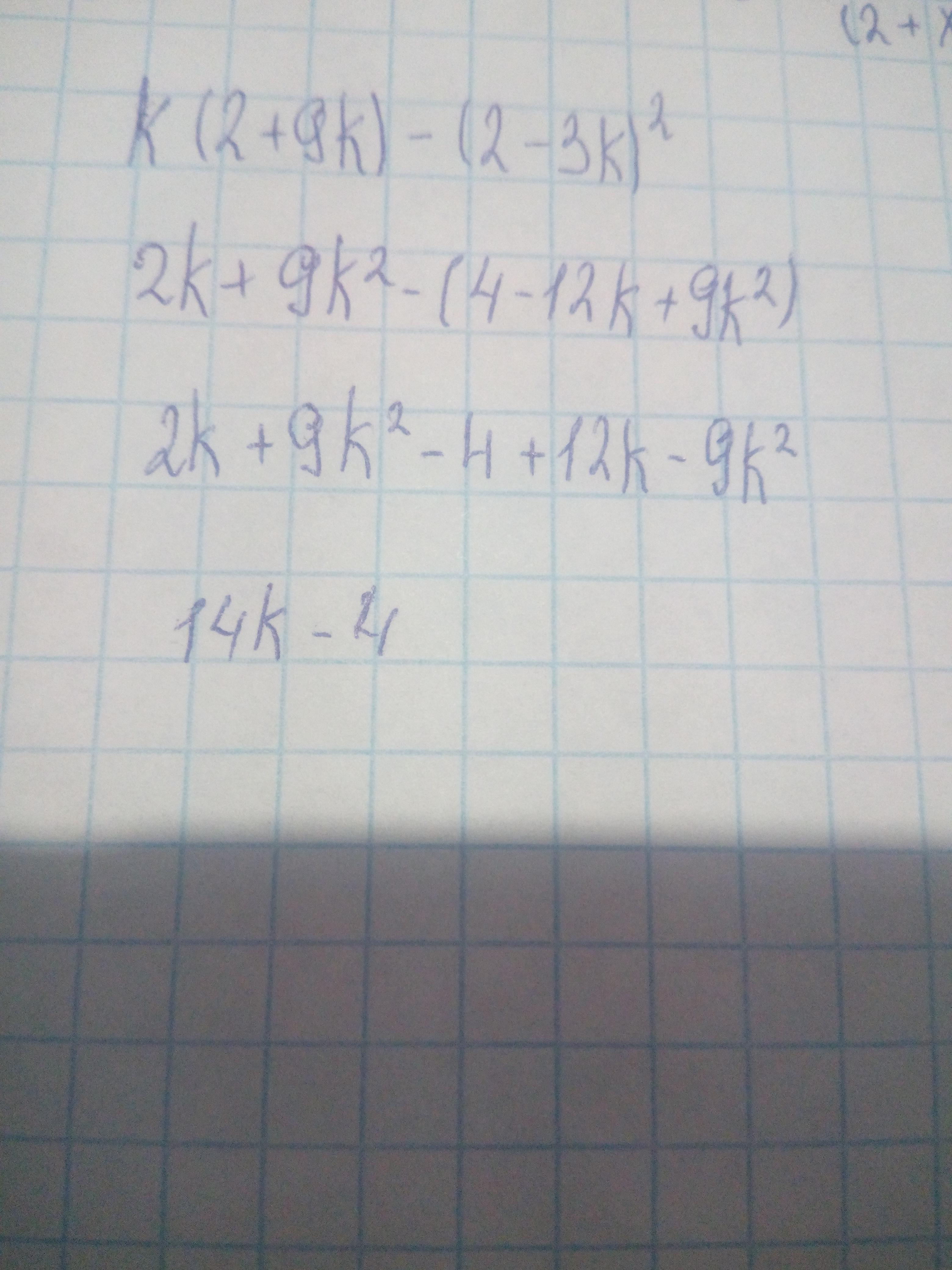
Упрости выражение k(2+9k)−(2−3k)^2
Ответы
Автор ответа:
3
Ответ:
на фото
Объяснение:
Приложения:
qqbobi:
Отметь как лучший плиз)
Ответ правильный спасибо!
Похожие вопросы
Предмет: Русский язык,
автор: Аноним
Предмет: Қазақ тiлi,
автор: сатп
Предмет: Русский язык,
автор: Аноним
Предмет: Английский язык,
автор: ameli86