Предмет: Математика,
автор: goryachevaalesyaalsl
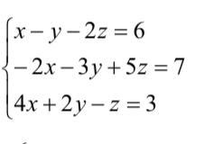
Решить методом Крамера систему линейных уравнений третьего порядка и методом Гаусса систему линейных уравнений третьего порядка
Приложения:
Ответы
Автор ответа:
0
Ответ:
Ответ на фото. Думая правильно
Приложения:
Похожие вопросы
Предмет: Русский язык,
автор: gfju1
Предмет: Русский язык,
автор: Znanija13376777
Предмет: Русский язык,
автор: losipovva
Предмет: Химия,
автор: litvinenkoliza2002