Предмет: Алгебра,
автор: nunu16032009
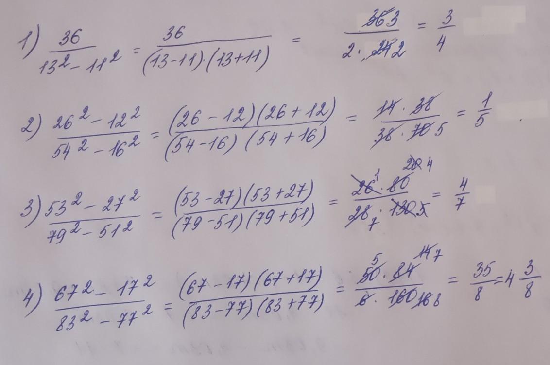
Найдите значение дробей

Решить один из них выборочно
Ответы
Автор ответа:
2
Ответ:
Решение представлено на прикрепленной фотографии.
Приложения:
fuasmuxtarli:
спасибо
Похожие вопросы
Предмет: Қазақ тiлi,
автор: Elver
Предмет: Другие предметы,
автор: ГригорийАграпонов
Предмет: Английский язык,
автор: Мери568
Предмет: Химия,
автор: JenisineJ
Предмет: География,
автор: DertiSr