Предмет: Алгебра,
автор: kruglovmaksim19
Помогите пожалуйста!!! Прошу
Приложения:
Ответы
Автор ответа:
1
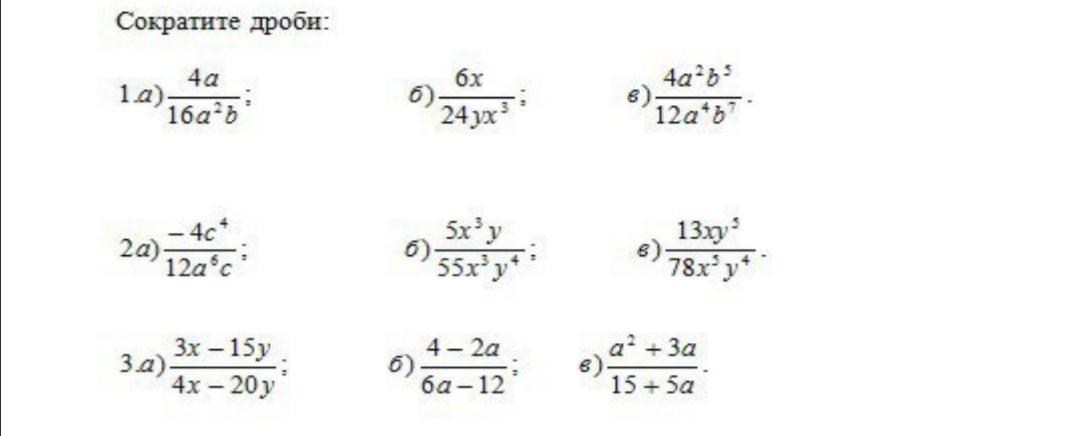
1) a/4ab 2) x/4yx² 3) 1/3a²b² 4)-c³/3a⁶ 5)1/11y³ 6)y/6x⁴ 7)3/4 8) -1/3 9) -3
Похожие вопросы
Предмет: Қазақ тiлi,
автор: Sveta20032603
Предмет: Русский язык,
автор: Жанетта11111
Предмет: Русский язык,
автор: Жанетта11111
Предмет: Английский язык,
автор: lazizabonu87
Предмет: Математика,
автор: KarolinaTimchenko