Предмет: Алгебра,
автор: bykovblinc
Помогите пожалуйста!!!! Срочно
Приложения:
Ответы
Автор ответа:
0
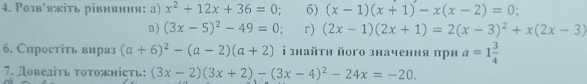
Ответ:1) (x+6)²=0
х+6=0
х=-6
2) Х²-1-Х²+2Х+0
-1+2Х=0
2Х=1
Х=0.5
3) (3Х-5-7)*(3Х-5+7)
(3Х-12)*(3Х+2)=0
3(Х-4)*(3Х+2)=0
РАЗДЕЛИТЬ ОБЕ СТОРОНЫ
(Х-4)*(3Х+2)=0
Х-4=0
Х=-2/3
Х1=-2/3
Х2= 4
4) 4Х²-1=2(Х-6Х+9)+2Х²-3Х
4Х²-1=2Х²-12Х+18+2Х²-3Х
4Х²-1=4Х²-15Х+18
-1=-15Х+18
15Х=19
Х=19/15=1,26
Объяснение:
Похожие вопросы
Предмет: Русский язык,
автор: Irina991111
Предмет: Английский язык,
автор: Аноним
Предмет: Русский язык,
автор: мина43
Предмет: Математика,
автор: loge80
Предмет: Английский язык,
автор: bangbang635