Предмет: Математика,
автор: Rey646
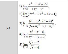
ПОМОГИТЕ ПОЖАЛУЙСТА ДАЮ 100 БАЛЛОВ ЗА РЕШЕНИЕ
Приложения:
Ответы
Автор ответа:
0
Ответ:
во вложении
Пошаговое объяснение:
там же
Приложения:
Похожие вопросы
Предмет: Английский язык,
автор: Юляшкин7
Предмет: Русский язык,
автор: SmayeL
Предмет: Русский язык,
автор: kissvvv
Предмет: Алгебра,
автор: shamsutdinovadr