Предмет: Математика,
автор: Sendi5
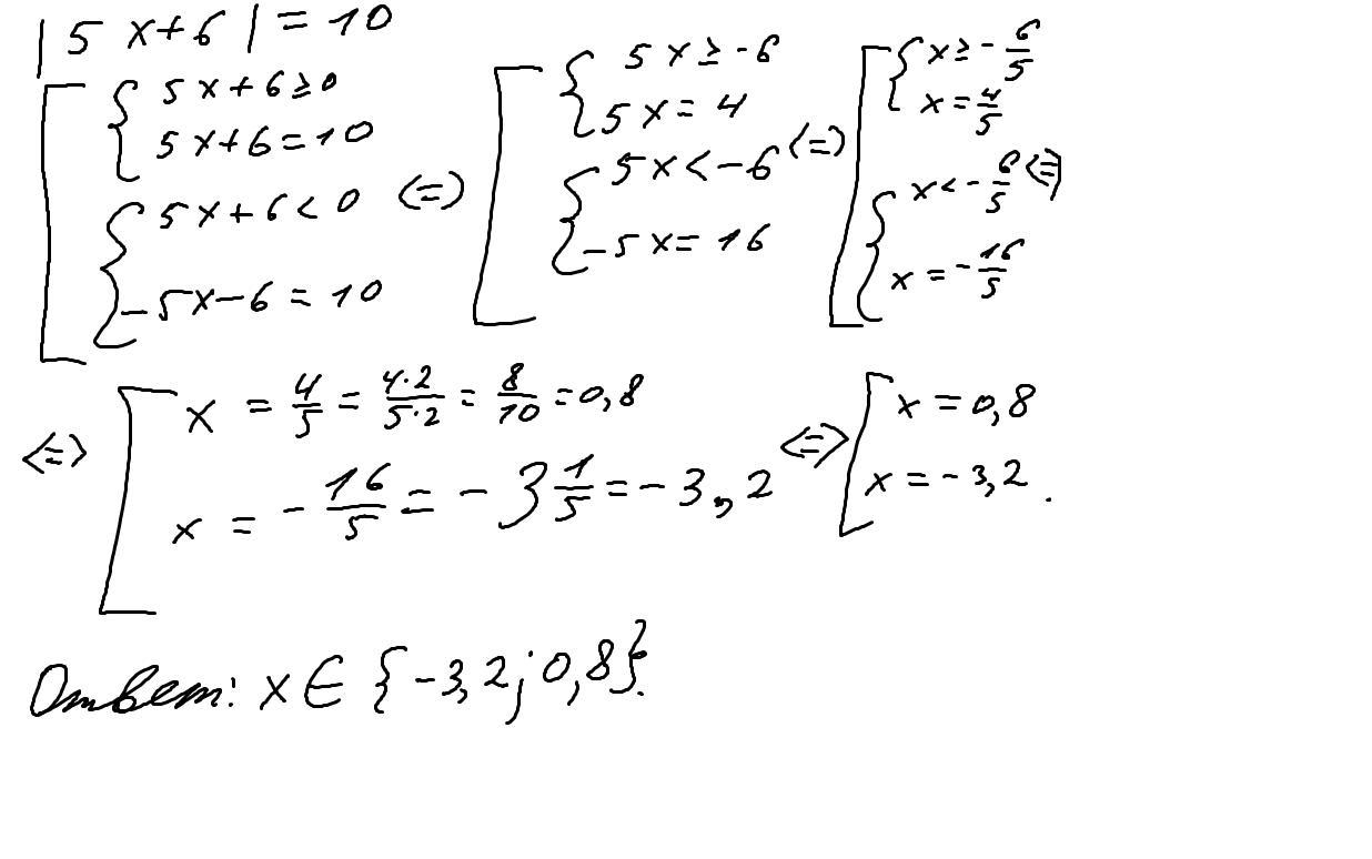
решите уравнение |5x+6|=10
Помогите пж, дам 20 балов
Ответы
Автор ответа:
0
Пошаговое объяснение:
Убрав модуль мы получим:
5x+6=10
Дальше решаем:
5x=10-6
5x=4
x=4:5
x=0,8
Автор ответа:
0
Ответ:
Пошаговое объяснение:
Приложения:
Похожие вопросы
Предмет: Русский язык,
автор: albikineev
Предмет: Русский язык,
автор: vova1337vk
Предмет: Русский язык,
автор: Olesyagirl123
Предмет: Литература,
автор: fanbts79
Предмет: Українська мова,
автор: patakidima