Предмет: Математика,
автор: Аноним
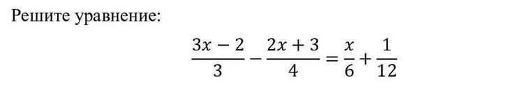
реши уровнение 3х-2/3-2х+3/4=х/6+1/12
СРОЧНООООООО
Приложения:
Ответы
Автор ответа:
1
Ответ:
Пошаговое объяснение:
Похожие вопросы
Предмет: Русский язык,
автор: Аноним
Предмет: Русский язык,
автор: Аноним
Предмет: Русский язык,
автор: Ян123441
Предмет: Алгебра,
автор: julyamaksimova08