Предмет: Алгебра,
автор: anjela9808
Помогите с алгеброй пж
Приложения:
Ответы
Автор ответа:
1
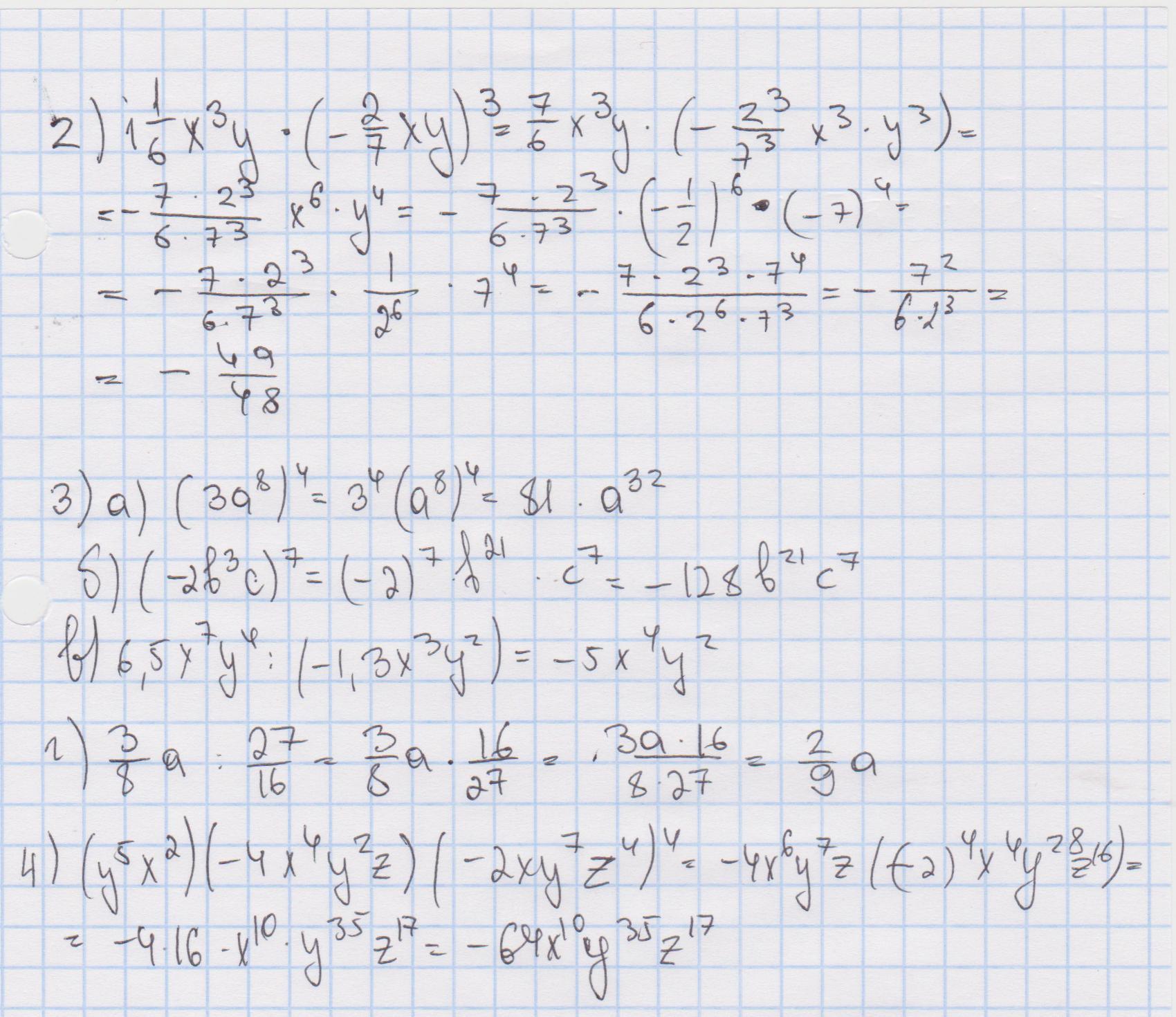
Ответ:
Держи братик, если что-то непонятно будет - спрашивай.
Объяснение:
Приложения:
anjela9808:
От дущи братан
Похожие вопросы
Предмет: Русский язык,
автор: оооои
Предмет: Английский язык,
автор: света733
Предмет: Русский язык,
автор: Аноним
Предмет: История,
автор: 1121488368
Предмет: МХК,
автор: yulechkanovaya