Предмет: Математика, автор: Vikawolfer

Решите пожалуйста, математика, 6 класс, очень срочно

Приложения:

Ответы

Автор ответа: starnadeika
2

Все эти уравнения решаются по очень простому принципу: если произведение равно нулю, то один из множителей равен нулю.

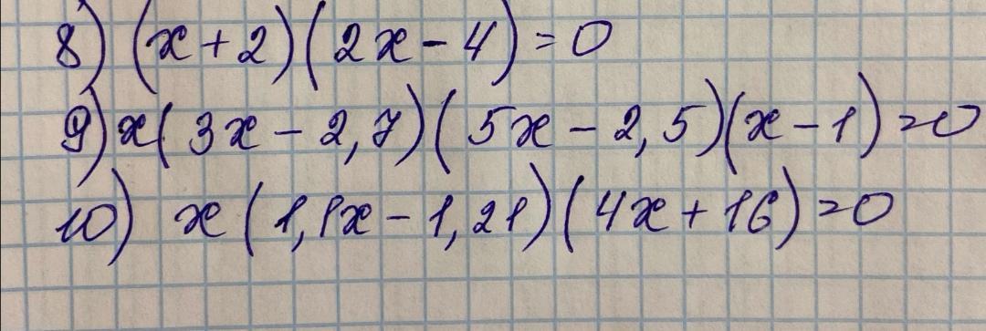
8. (x + 2)(2x - 4) = 0

x + 2 = 0 или 2x - 4 = 0

x = -2              2x = 4

                       x = 2

Ответ: х = -2; 2.

В этом уравнении ДВА корня, то есть х может быть равен двум числам.

9. x(3x - 2.7)(5x - 2,5)(x-1) = 0

x = 0 или 3x - 2,7 = 0 или 5x - 2,5 = 0 или x - 1 = 0

                3x = 2,7              5x = 2,5             x = 1

                x = 0,9                 x = 0,5

Ответ: x = 0; 0,5; 0,9; 1

В этом уравнении ЧЕТЫРЕ корня, то есть х может принимать четыре значения.

10. x(1,1x - 1,21)(4x + 16) = 0

x = 0 или 1,1x - 1,21 = 0 или 4x + 16 = 0

                1,1x = 1,21              4x = -16

                 x = 1,1                   x = -4

Ответ: x = -4; 0; 1,1

В этом уравнении ТРИ корня, то есть х может иметь три корня.


Vikawolfer: Спасибо огромное
starnadeika: пожалуйста)
Похожие вопросы
Предмет: Русский язык, автор: плиз116
Предмет: Русский язык, автор: fiamondcheese
Предмет: Окружающий мир, автор: Lily2015