Предмет: Математика,
автор: kalm2mal
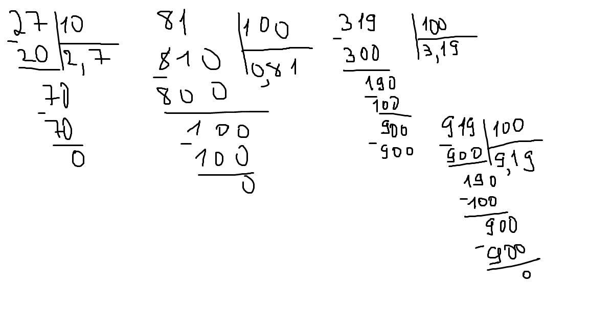
1. Запишите в виде десятичных дробей частное: 27:10; 81:100; 319:100; 919: 100
Ответы
Автор ответа:
0
Ответ:
Пошаговое объяснение:
27:10=2,7
81:100=0,81
319:100=3,19
919: 100=9,19
Автор ответа:
0
Соярн что так долго, просто думал сначала написать в блокноте текстом:
Приложения:
Похожие вопросы
Предмет: Английский язык,
автор: SonicStile
Предмет: Қазақ тiлi,
автор: 57909176
Предмет: Русский язык,
автор: roze4392
Предмет: Русский язык,
автор: gajana2008
Предмет: Математика,
автор: movchanvladisl