Предмет: Алгебра,
автор: naushev13
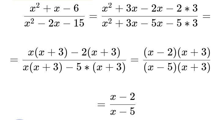
сократите дробь,пожалуйста,в задании "б".у нас тема разложения на множители,там надо уравнение типо решать через дескриминант,а потом сократить (сорян,если мозолю глаза.просто время сдачи поджимает,а ответ нужен верный(()
Приложения:
Ответы
Автор ответа:
3
Ответ:
вот если там буде не +6, а -6.
Приложения:
Похожие вопросы
Предмет: Французский язык,
автор: Danya1910
Предмет: Русский язык,
автор: kuzmingeorgii0
Предмет: Русский язык,
автор: DocMitchell
Предмет: Русский язык,
автор: curiouschild
Предмет: Литература,
автор: nikiitaqw6