Предмет: Алгебра,
автор: Milana2990
АЛГЕБРА! 7 КЛАСС! Срочно прошу помочь
Приложения:
Ответы
Автор ответа:
0
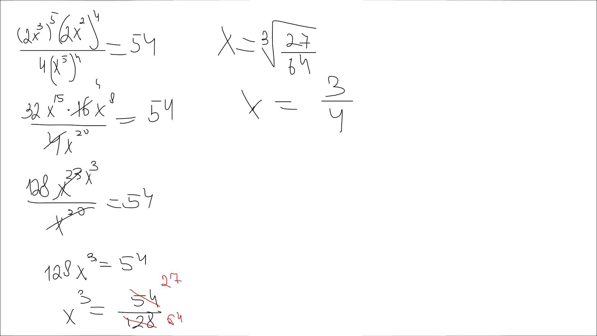
Ответ://////////////
Объяснение:
Приложения:
Похожие вопросы
Предмет: Другие предметы,
автор: JTXLive
Предмет: Русский язык,
автор: ната699
Предмет: Русский язык,
автор: qasimova05
Предмет: Математика,
автор: sergio465