Предмет: Математика,
автор: pavamk117
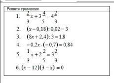
помогите пожалуйста очень надо
Приложения:
Ответы
Автор ответа:
1
Вот ответ на первое уравнение, надеюсь помогла
Приложения:
Похожие вопросы
Предмет: Русский язык,
автор: polnakovalenko1802
Предмет: Другие предметы,
автор: АйданНяша2005
Предмет: Английский язык,
автор: tanchos1982mailru
Предмет: Математика,
автор: stasNikejustdoit
Предмет: Английский язык,
автор: rrrgg222