Предмет: Геометрия, автор: marinamurenec

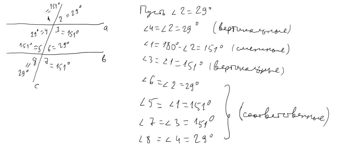
Один з кутів, що утворилися при перетині двох паралельних прямих січною =29°. Знайдіть решту кутів.
Щиро дякую за допомогу.

Ответы

Автор ответа: Warlock1
2

Ответ:

ну так

Объяснение:

Приложения:
Похожие вопросы
Предмет: Русский язык, автор: FaceHunt
106. Подготовься к диктанту. Вставь пропущенные буквы и недоста-
ющие запятые, раскрой скобки. Подчеркни причастия как члены
предложения. Графически обозначь условия выбора орфограмм на
месте пропусков букв и скобок.

Ноги беспр_станно путались и ц_плялись в дли_ой траве пр_сы-
щенн_й горяч_м солнцем. Всюду р_било в глазах от резкого мета_иче-
ского св_ркания молодых, красноватых, словно обожж_нн_х листьев
на деревцах. Всюду пестрели голубые грозд_я журавли_ого гороху,
золотые чашечки кури_ой слепоты, наполовину лиловые, наполовину
ж_лтые цветы ивана-да-марьи. Кое-где, возле заброш_нн_х дорожек,
на которых следы колёс обозначались полосами красной мелкой трав-
ки, возвышались кучки кем(то) слож_нн_х3 дров потемневш_х от
ветра и дождя. Слабая, лиш_нная ч_тких оч_ртаний тень падала от
них. Лёгкий ветерок то просыпался, то утихал…