Предмет: Алгебра,
автор: Mikail2006
Решить подробно три уравнения методом подстановки))
Заранее спасибо)
Приложения:
TkachenkoVadim:
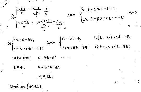
[tex] \boxed{ \boxed{ \frak{ \huge\Downarrow \: otvet \: \: na\: \: foto \Downarrow } }} .[/tex]
прошу прощенья за такой вопрос, а в каком вы классе просто я тоже с интернет урока)
Это Якласс)
Ответы
Автор ответа:
12
Приложения:
Похожие вопросы
Предмет: Русский язык,
автор: нина391
Предмет: Русский язык,
автор: Catolion
Предмет: Русский язык,
автор: zalina40
Предмет: Українська література,
автор: innamatvijchuk
Предмет: Английский язык,
автор: Amiredo