Предмет: Математика,
автор: vladimirf976
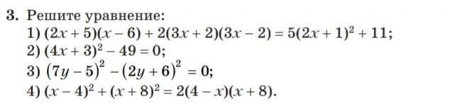
Смотрите фото, 30 баллов
Приложения:
Ответы
Автор ответа:
0
Ответ:
(2x + 5)(x - 6) + 2(3x + 2)(3x - 2) = 5(2x + 1)² + 11
2x² - 12x + 5x - 30 + 2(9x² - 4) = 5(4x² + 4x + 1) + 11
2x² - 7x - 30 + 18x² - 8 = 20x² + 20x + 5 + 11
20x² - 7x - 38 = 20x² + 20x + 16
20x² - 7x - 38 - 20x² - 20x - 16 = 0
-27x - 54 = 0
27x = - 54
x = - 2
CОРЯН, НО ТОЛЬКО РЕШИЛ 1 ПРИМЕР
vladimirf976:
а чего 1?
Похожие вопросы
Предмет: Английский язык,
автор: рузана66666666
Предмет: Английский язык,
автор: salikhanova03
Предмет: Қазақ тiлi,
автор: art1639273
Предмет: Русский язык,
автор: tata6774
Предмет: История,
автор: golubevtony1