Предмет: Алгебра,
автор: dilafruzhatamkulova
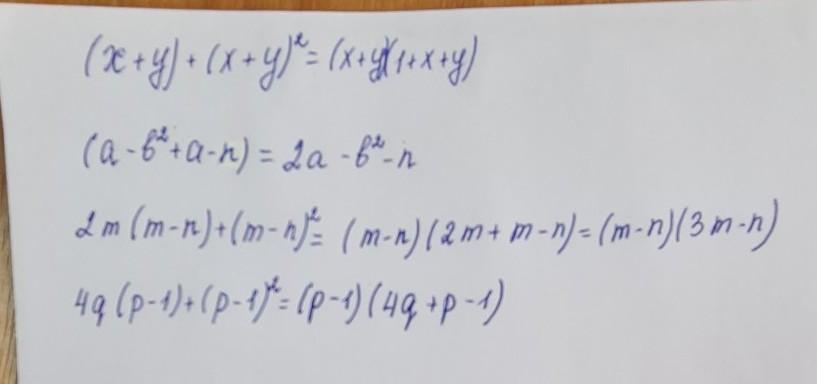
Разложите на множители
1)(x+y)+(x+y)^2
2)(a-b^2+a-n
3)2m(m-n)+(m-n)^2
4)4q(p-1)+(p-1)^2
Cohendd:
2) с описками
Ответы
Автор ответа:
0
Объяснение:
ловииииииииииииииииии
Приложения:
Похожие вопросы
Предмет: Русский язык,
автор: dog759
Предмет: Русский язык,
автор: данияр41
Предмет: Английский язык,
автор: мгаошалованова
Предмет: Английский язык,
автор: Аноним
Предмет: Алгебра,
автор: bekarealmadrid