Предмет: Алгебра,
автор: skraffihz
Помогите пожалуйста
7к
25б
Приложения:
Ответы
Автор ответа:
1
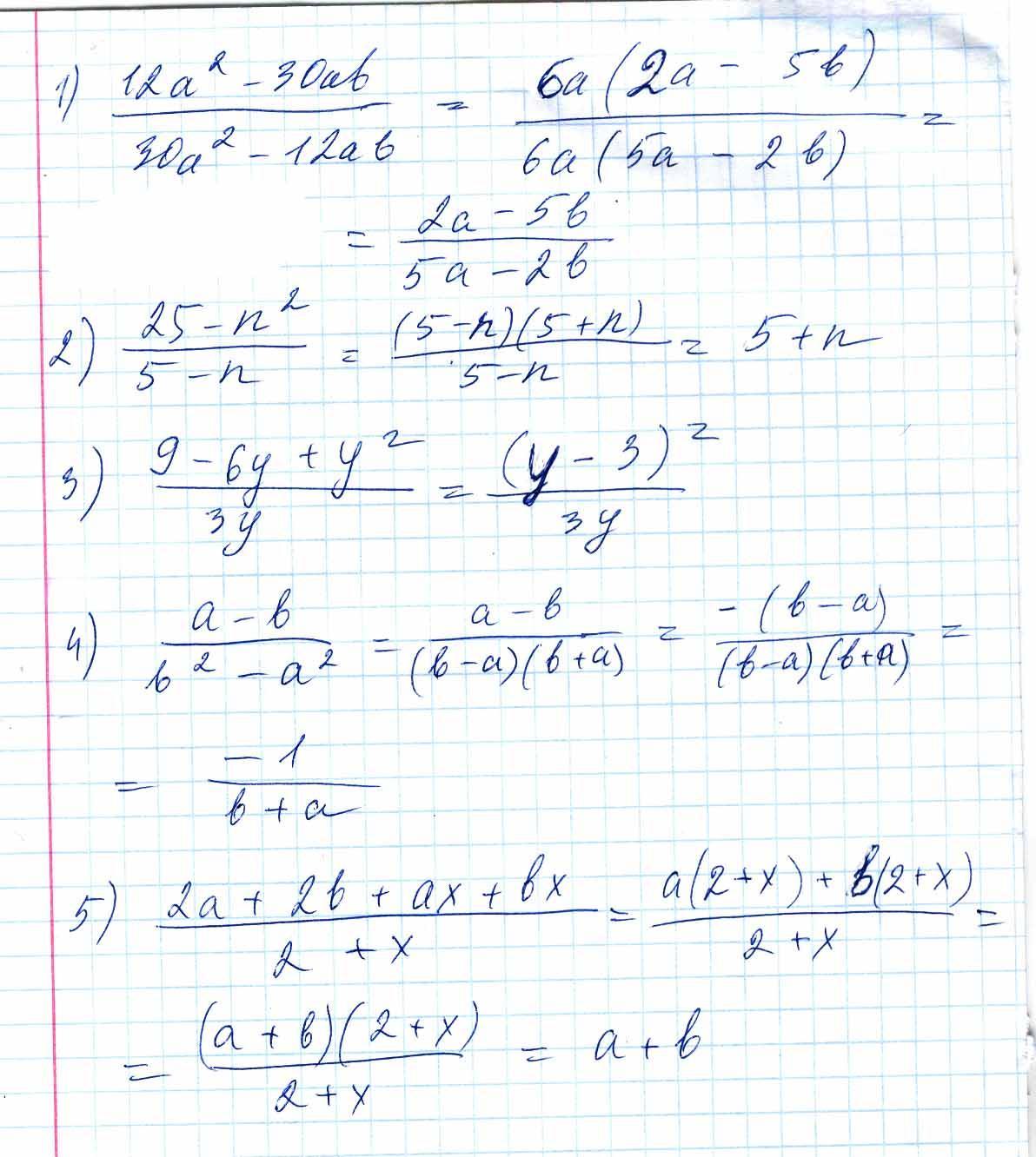
Ответ:
см ниже
Объяснение:
решение на фото
Приложения:
Похожие вопросы
Предмет: Русский язык,
автор: yulyabutaeva8
Предмет: Окружающий мир,
автор: Патимейкер365475
Предмет: Окружающий мир,
автор: ignatova278601
Предмет: Русский язык,
автор: sabrinalungu0
Предмет: Биология,
автор: leyla0422