Предмет: Алгебра,
автор: vareenka1
Пожалуйста решите❤️
Приложения:
Ответы
Автор ответа:
2
Объяснение:
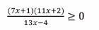
ОДЗ: 13х-4≠0 13х≠4 |:13 x≠4/13.
-∞__-__-2/11__+__-1/7__-__4/13__+__+∞ ⇒
Ответ: x∈[-2/11;-1/7]U(4/13;+∞).
Похожие вопросы
Предмет: Русский язык,
автор: viktorya198585
Предмет: Окружающий мир,
автор: veronikasodko2005
Предмет: Русский язык,
автор: kostrominarusa1
Предмет: Английский язык,
автор: Dayana10161
Предмет: Физика,
автор: катаез