Предмет: Математика,
автор: dizi0
Помогите срочно пожалуйста
Приложения:
Ответы
Автор ответа:
1
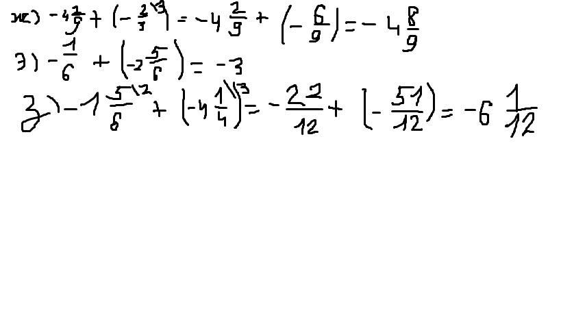
Ответ:
э) -18+(-43)= -61
ж) -11,1+(-14)= -25,1
з) -17+(-21,7)= -38,7
а) -142+(-36)= -178
б) -288+(-849)= -1137
в) -2318+(-8839)= -11157
г) -13,7+(-11,9)= -25,6
д) -80,81+(-7,32)= -88,13
е) -375+(-6,32)= -381,32
Последние три в закреплённой фотографии
Надеюсь, помог ;)
Приложения:
Похожие вопросы
Предмет: Русский язык,
автор: hebibova2014
Предмет: Русский язык,
автор: МаксКрылов
Предмет: Русский язык,
автор: сауле35
Предмет: Русский язык,
автор: Matvey0203
Предмет: Литература,
автор: kseniya8755