Предмет: Математика,
автор: kuurameruu
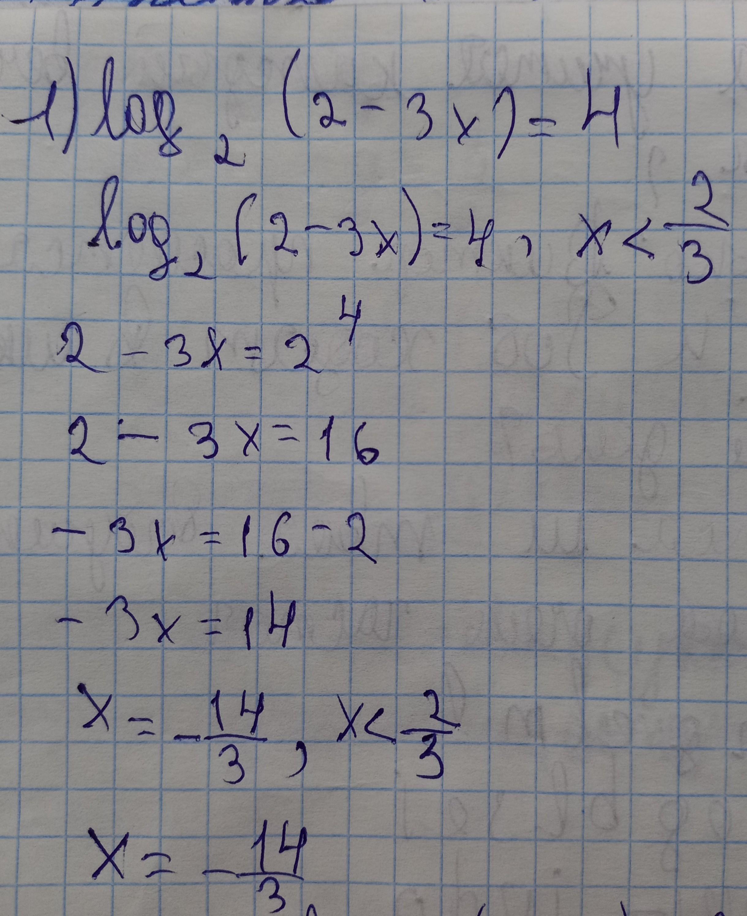
Можете решить пожалуйста на листочке
Приложения:
Ответы
Автор ответа:
1
Ответ:
____________________________
Приложения:
kuurameruu:
спасибо большое!!
не за что :>
блин, помоги еще раз пожалуйста, как то связаться с тобой надо
инста есть vuonsel
написала
Похожие вопросы
Предмет: Українська література,
автор: Аноним
Предмет: Английский язык,
автор: leylagrigorenk
Предмет: Русский язык,
автор: Kari15410
Предмет: Другие предметы,
автор: valikkk1
Предмет: Химия,
автор: 228kekc2282