Предмет: Математика,
автор: tototoyoyoyoyooy
Помогите решить дам 20 баллов
Приложения:
Ответы
Автор ответа:
0
-8
Пошаговое объяснение:
опять аааааааааа проверенно мной
tototoyoyoyoyooy:
Не правильно
Автор ответа:
0
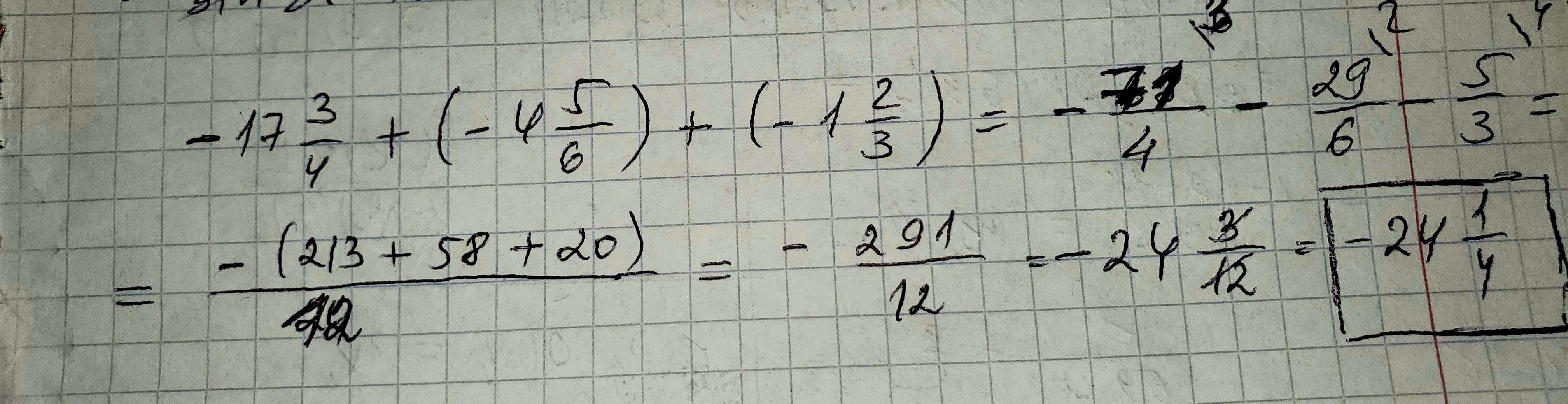
Відповідь:
Покрокове пояснення:
Приложения:
Похожие вопросы
Предмет: Українська мова,
автор: Qwerty096
Предмет: Русский язык,
автор: svets3
Предмет: Русский язык,
автор: Cookie314
Предмет: Литература,
автор: apervaa331