Предмет: Алгебра, автор: bitmodzi

Вывести из иррациональности 4/√6+√2​

Ответы

Автор ответа: larisaserova53
1

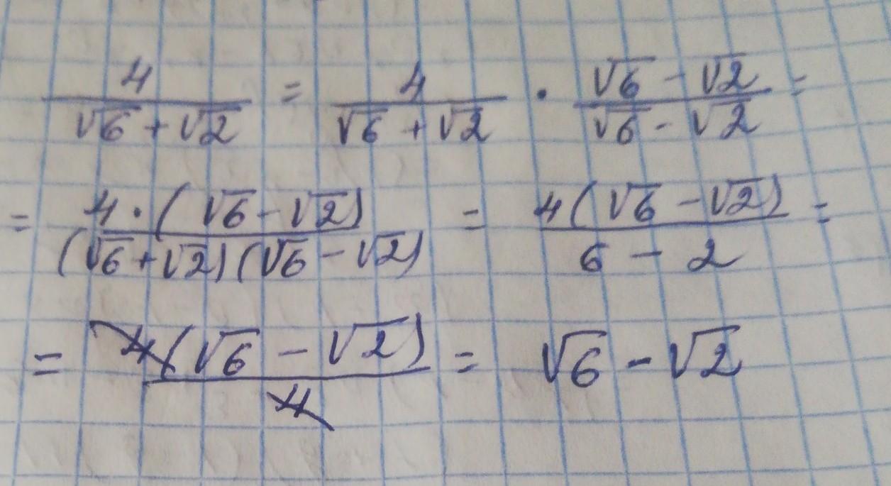
Ответ:

Смотри решение на фото...

Приложения:
Автор ответа: Grudiant
0

Ответ:

2√6 / 3 + 2√2 / 2

Объяснение:

4√6/√6*√6 + √2*√2/√2=4√6/6 + 2√2/√2*√2=2√6/3+2√2/2

Похожие вопросы
Предмет: Русский язык, автор: ГАГАГАГАГА1
Пожалуйста помогите!!!!!
Надо привести один аргумент из текста
"Что такое сила духа?"


(1)В Ленинград пришла первая послевоенная весна. (2)Однажды я 
шёл с завода домой. (3)Долгий закат дымил над городом. (4)Только что 
прошумел дождь, ещё бренчали капли, падая с карнизов, и синие лужи на 
мостовых курились паром. 
(5)Я вспомнил, как вернулся в Ленинград перед концом войны и не 
узнал его: пустынными и мёртвыми казались улицы, ни один фонарь не 
горел, не светились окна; на месте газонов и цветников чернела голая 
земля, разбитая на крохотные кривые грядки; прошлогодние листья 
скреблись и шуршали по дорожкам перекопанных городских садов… 
(6)Я шёл медленно, подставляя лицо под капли и улыбаясь 
собственным мыслям. (7)В ту первую после войны весну у нас было много 
работы; мы отстаивали по полторы-две смены и ходили злые, 
невыспавшиеся. (8)А теперь вот горячка кончилась, и можно будет 
отдохнуть. 
(9)Навстречу мне попалась женщина. (10)Она несла букет 
желтоватой черёмухи. (11)Я не успел посторониться, и шершавые мягкие 
листья коснулись лица. (12)На миг я ощутил полузабытый запах – такой 
свежий, холодящий, словно от сосульки, положенной на язык. 
(13)И неожиданно я встретил её. 
(14)Старая, раскидистая, она росла в конце тихой улочки, доставая 
третьи этажи. (15)Издали казалось, будто чистое летнее облако опустилось 
между домов. (16)Подойдя, я остановился у склонённых веток. (17)Кисти 
крупных цветов качались над самой головой. (18)Их можно было трогать 
руками. (19)Их можно было сорвать. 
(20)Я протянул руку. (21)Эти цветы уже сегодня будут стоять у меня 
дома… 
(22)Надламываясь, ветка громко хрустнула. (23)Я торопливо сунул 
её за спину. (24)Постукивая палкой, к черёмухе подходил сутулый, худой 
старик. (25)Сняв шляпу, он прислонился к стволу и словно задремал. 
(26)Мне было слышно, как он дышит – по-старчески посапывая. 
(27)Я отодвинулся и тут заметил ещё двух человек. (28)Они стояли, 
прижавшись друг к другу, – молоденький парень и девушка. (29)Ни меня, 
ни старика они не замечали. 
(30)И ещё я увидел окна. (31)Настежь распахнутые окна в соседних 
домах. (32)Казалось, домá тоже дышали, жадно и глубоко… 
(33)Я представил себе тех, кто живёт на этой улице, и подумал: как 
удалось им сохранить черёмуху? (34)Не со слов – сам знаю: страшной 
блокадной зимой, когда в комнатах застывает вода и садится на стенках 
иней, чем не пожертвуешь ради крохи тепла, ради слабенького пламени в 
печурке? (35)А огромное старое дерево – уцелело. (36)Не в саду, не в 
парке – прямо на улице, никем не охраняемое… (37)Неужто на пороге 
смерти своей заботились люди о красоте и ждали весны?

Предмет: Математика, автор: pro1510