Предмет: Физика,
автор: лолололо
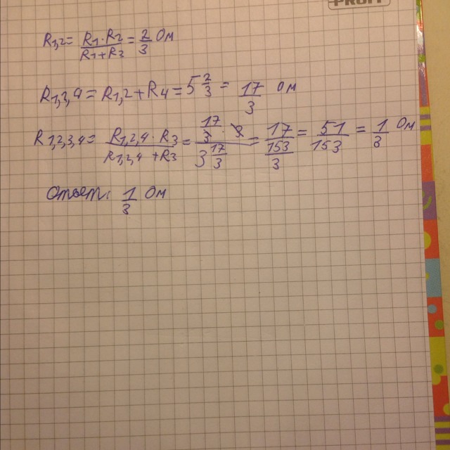
Рассчитайте общее сопротивление цепи, если R1= 2 Ом, R2= 1 Ом, R3= 3 Ом, R4=5 Ом
Лучшему +10 балов еще
Приложения:
Ответы
Автор ответа:
0
ответ во вложении ___________
Приложения:
Автор ответа:
0
=16/10=1.6 ом
Автор ответа:
0
В первом вычислении я ошибся, ввожу сразу с компа и на бумаге не считаю, а расписывал, что бы было понятно, а так конечно любой физик должен стремиться к единой конечной формуле(здесь это плохо катит, многие не понимают)
Автор ответа:
0
все правильно только в вычислениях ошибся,а у лэди сразу же первое действие неправильное
Автор ответа:
0
почему не правильно
Автор ответа:
0
потому что в первом параллельное соединение
Похожие вопросы
Предмет: Английский язык,
автор: ingret13
Предмет: Литература,
автор: 0oAsortio0
Предмет: Биология,
автор: michaeloakley007
Предмет: Геометрия,
автор: Slavtey
Предмет: Биология,
автор: leen178