Предмет: Алгебра,
автор: lvan688
даю 25 балів допоможіть
Приложения:
Ответы
Автор ответа:
0
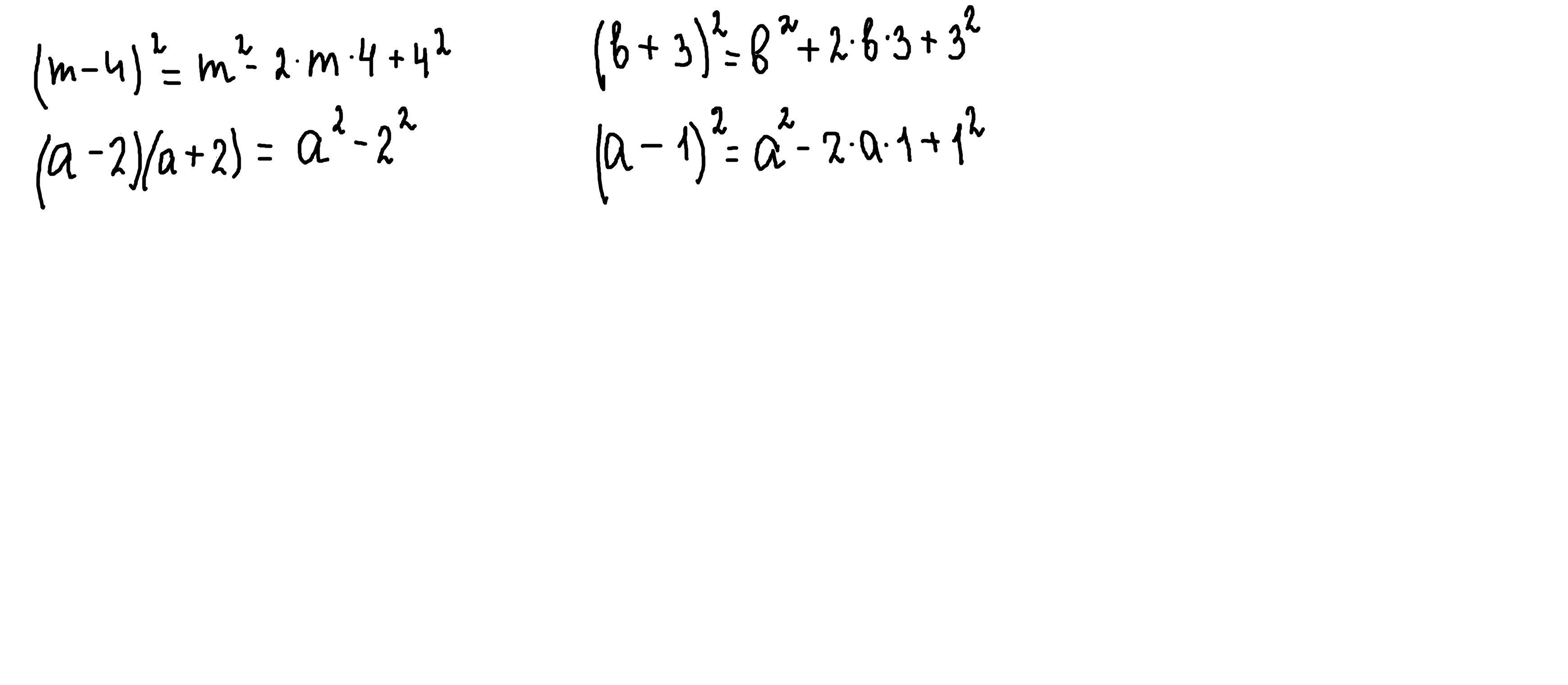
Ответ:
Объяснение:
верный ответ под буквой Б
находим его по формуле (а+в)²=а²+2ав+в²
внизу написала какими должны верные правые части
Приложения:
selfcare39:
здравствуйте, помогите пожалуйста с алгеброй задание у меня в профиле отмечу 5 звёзд и сделаю лучший ответ
Автор ответа:
0
расписала кратко, когда стоит степень за скобкой , мы раскрывая скобки , умножаем эту степень на все числа, либо буквы, которые есть в скобке.
Приложения:
Похожие вопросы
Предмет: Русский язык,
автор: kristinkakrasovskaya
Предмет: Окружающий мир,
автор: saida2017
Предмет: Русский язык,
автор: kat812841
Предмет: Алгебра,
автор: Stikki
Предмет: Алгебра,
автор: kleinich2017