Предмет: Математика,
автор: Wexill
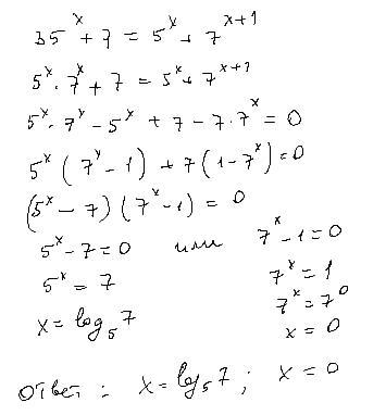
Решите уравнение

Ответы
Автор ответа:
2
Ответ:
Пошаговое объяснение:
Приложения:
Автор ответа:
1
ответ :
Похожие вопросы
Предмет: Русский язык,
автор: НикитаАндреевич1
Предмет: Русский язык,
автор: Юлия19881
Предмет: Русский язык,
автор: ирина1056
Предмет: Английский язык,
автор: Qqwwgffgdvh
Предмет: Математика,
автор: denis2004776