Предмет: Алгебра,
автор: ЧерныйГолубь
Помогите упростить ,пожалуйста
Приложения:
Ответы
Автор ответа:
0
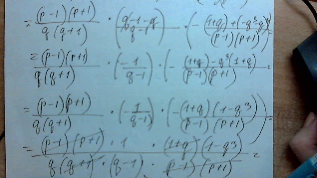
У меня вот так вот получилось
Приложения:
Автор ответа:
0
Решение во вложениях. Удачи.
Приложения:
Похожие вопросы
Предмет: Литература,
автор: mimimizkaila
Предмет: Другие предметы,
автор: E00
Предмет: Химия,
автор: mariasimonovanorka
Предмет: Алгебра,
автор: ann0304
Предмет: Математика,
автор: Аноним