Предмет: Алгебра,
автор: promacksss
пж помогит у меня ср 7клас даю30балов помогите решить
Приложения:
Ответы
Автор ответа:
0
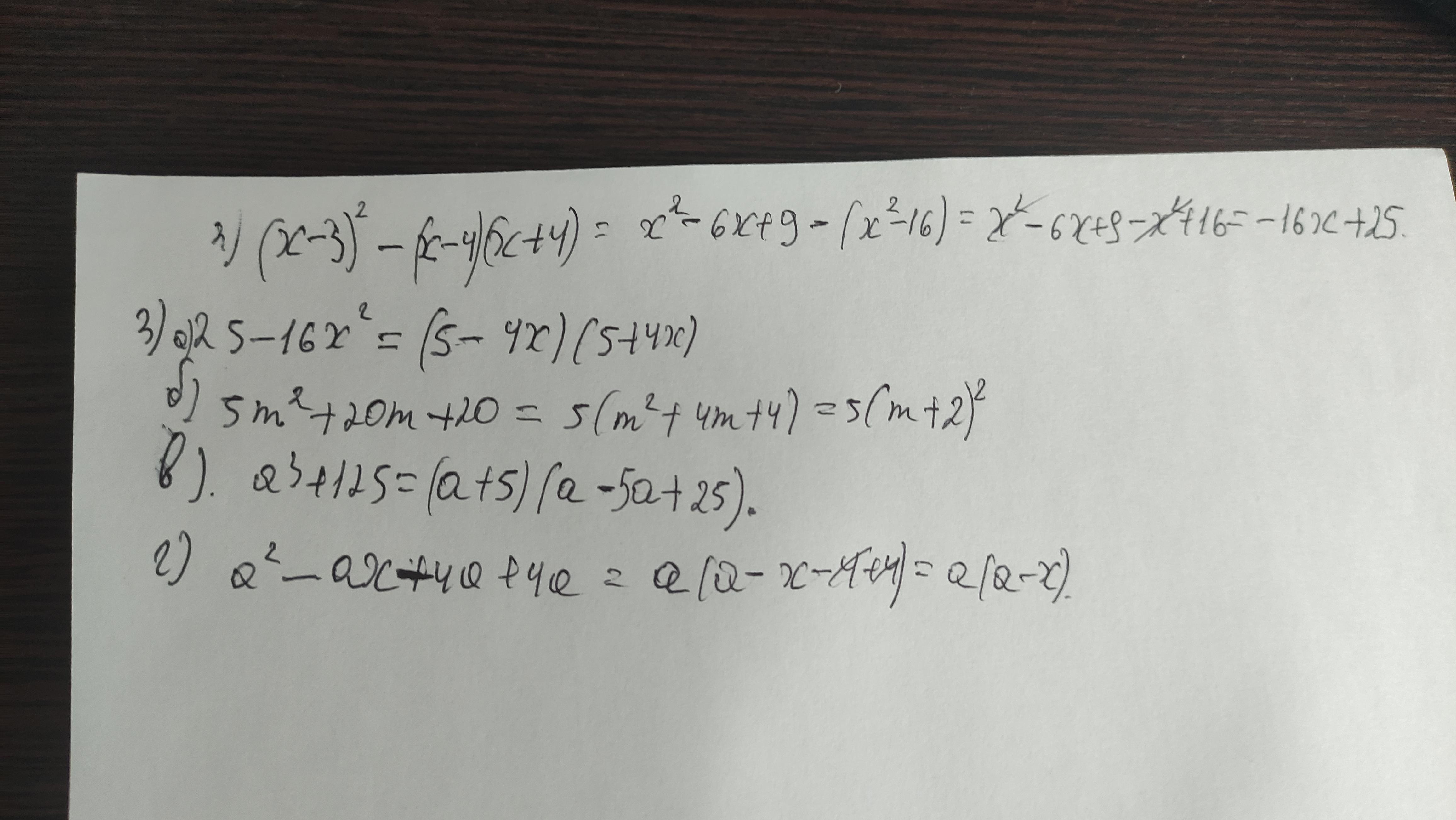
Ответ:
На фото
Объяснение:
Приложения:
Похожие вопросы
Предмет: Русский язык,
автор: ann261004
Предмет: Английский язык,
автор: жтпдломоб
Предмет: Русский язык,
автор: marina14021
Предмет: Алгебра,
автор: Natalia1402
Предмет: Русский язык,
автор: schoolboy434