Предмет: Алгебра,
автор: rosabarboskinaxxx
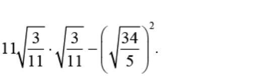
помогите пожалуйста решить алгебру, СРОЧНО!
Приложения:
Ответы
Автор ответа:
0
Ответ:
-359/55
Объяснение:
либо в десятичной -6,527
Похожие вопросы
Предмет: Русский язык,
автор: asks2
Предмет: Английский язык,
автор: oxi74
Предмет: Українська мова,
автор: Polygrafservis
Предмет: Математика,
автор: kotgemer62
Предмет: Русский язык,
автор: Arsen905305