Предмет: Физика, автор: ImanDragon

Срочно!!! Визначте густину газу при 200 кП, якщо середня квадратичка швидкість поступального руху молекул становить 500 м/с

Ответы

Автор ответа: zybkov1950
0

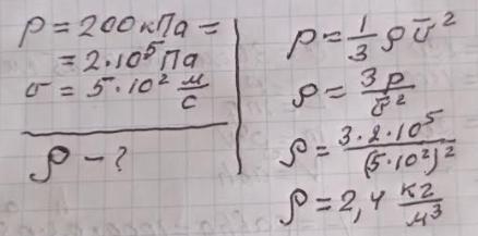
Ответ: 2,4

Объяснение: Объяснение на фото

Приложения:
Похожие вопросы
Предмет: Русский язык, автор: Nodira0200
Предмет: Русский язык, автор: тупица39
Русский язык 8 класс
с.41 № 58 (А)

3. Мы подошли к сплошному заносу, сквозь который пробивалась наша речка, теперь уже совсем ручей. Он просверлил в снегу тоннель, и, слегка пригнув головы, мы вошли в него. Мы очутились в белом коридоре, потолок которого пропускал солнечный свет, смягченный толщею снега. Мы шли, осторожно переступая с камня на камень, стараясь не задевать головой хрупкий белоснежный свод. Вышли у самого перевала. Здесь снег опять кончился и зеленела трава.


— Сейчас будет озеро, — сказал Датуша и стал вытирать о траву свои туфли. Я почувствовал нетерпенье и стал выбираться на гребень перевала, не дожидаясь его. Сердце гулко стучало. Сказывалась высота. Горячий и сухой воздух с внезапно натекающими струями холодного дыхания ледников. Я вышел на перевал. Внизу под крутым обрывом лежало озеро.
Я взглянул на него и ощутил тихое и глубокое изумление. Мне показалось невероятным, что за мгновенье до этого я не видел и не чувствовал, что рядом лежит такое чудо.
Казалось, это не вода, а какая-то первозданная голубизна, огромный сгусток кристаллического воздуха, вправленный в землю.
Оно лежало прямо подо мной, окруженное нежной и курчавой, как шерсть животного, травой. Недалеко от берега из воды высовывалась небольшая гряда оранжевых скал, четко, как в бинокле, отраженная в воде. Большие ломти снега, так же четко отраженные в воде, легко стояли на ней.
А над озером и над лужайкой, справа и слева — навороченные друг на друга глыбы, отроги гор и хребты. Окаменевший, но все еще рвущийся вверх хаос борьбы за высоту, за небо.
А здесь это тихое озеро, и тихая лужайка, и смирившиеся камни, по горло погруженные в воду, и крупные ломти снега, забывшего таять, прислушивались к чему-то тихому, вечному. срооочнооорр