Предмет: Математика,
автор: sonyazotkina9
ДАЮ 30 БАЛОВ!!
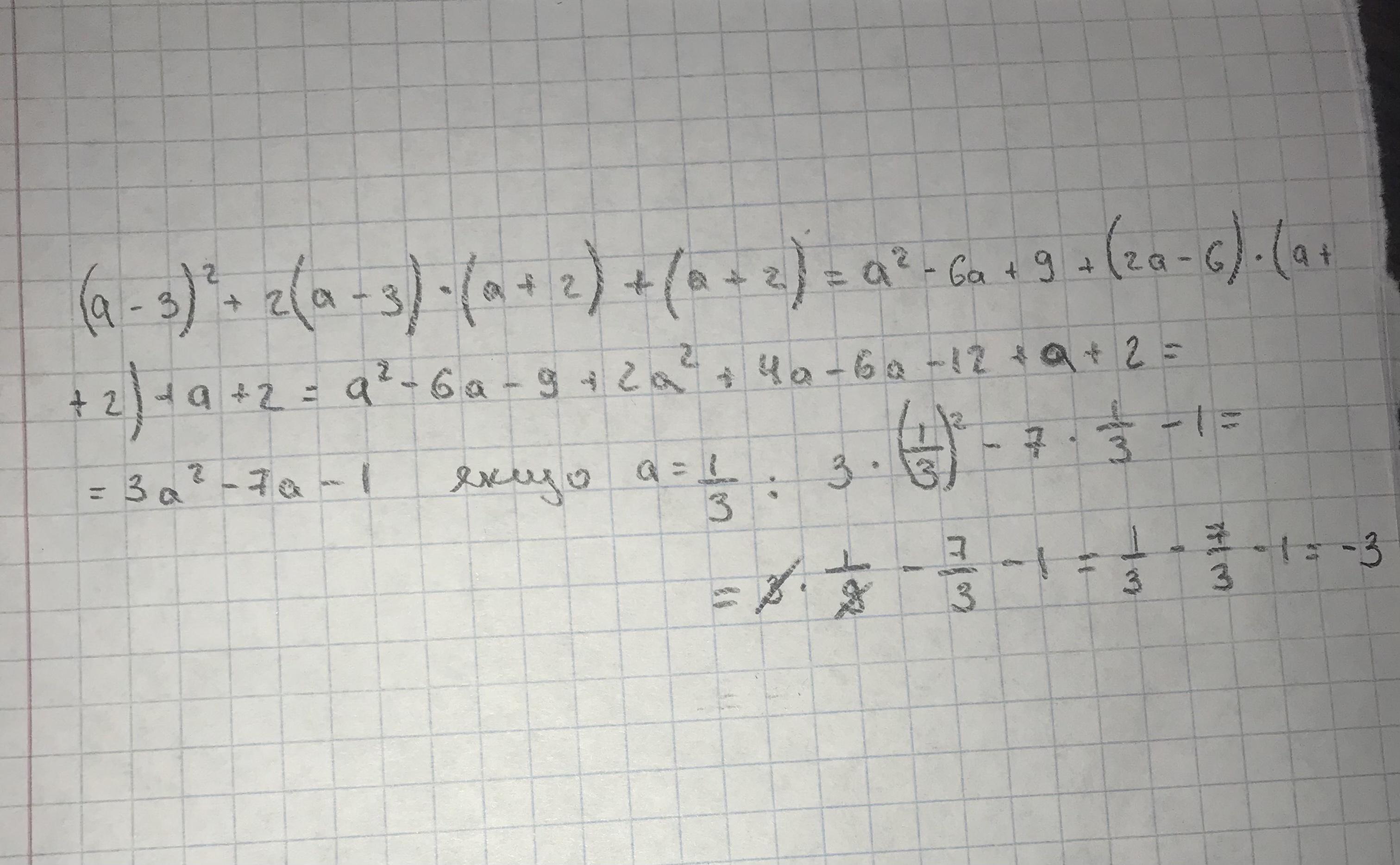
СРОЧНО!!!! СРОЧНО!!!! знайдіть значення виразу (a-3)²+2(a-3)(a+2)+(a+2); якщо a=1/3
Ответы
Автор ответа:
2
Вложение фото решения и ответа.
Приложения:
Автор ответа:
1
Відповідь:
Покрокове пояснення:
Приложения:
sonyazotkina9:
больше спасибо, дай бог вам здоровья
Похожие вопросы
Предмет: Русский язык,
автор: папинадочка3
Предмет: Українська мова,
автор: 71727
Предмет: Английский язык,
автор: tayachvalivska
Предмет: География,
автор: vsvechinskij
Предмет: Алгебра,
автор: Денис74724