Предмет: Алгебра,
автор: tikfana911
Решите уравнение пожалуйста
Приложения:
Ответы
Автор ответа:
1
Объяснение:
воооооооооотттт~~~~~~~
Приложения:
Автор ответа:
1
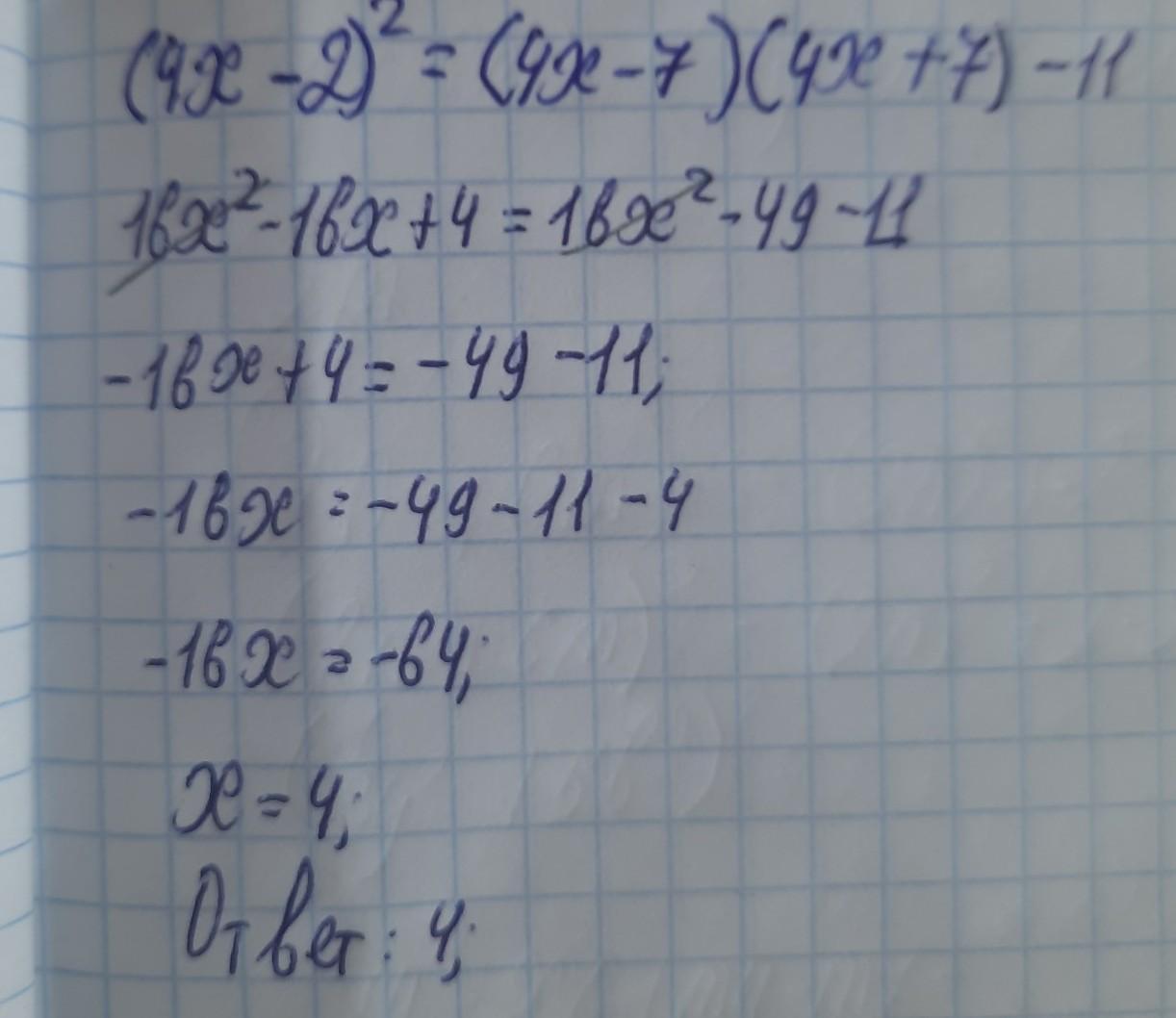
(4х-2)²=(4х-7)(4х+7)-11
раскроем скобки ,приводим подобные
16х²-16х+4=16х²-49-11
-16х+4= -60
-16х= -60-4
-16х= -64
х= -64:(-16)
х=4
_________
формулы
(а-б)²=а²-2аб+б²
(а-б)(а+б)=а²-б²
Похожие вопросы
Предмет: Русский язык,
автор: Аноним2211
Предмет: Русский язык,
автор: мария1474
Предмет: Русский язык,
автор: Сафина11111
Предмет: Математика,
автор: Elia2018
Предмет: Биология,
автор: strukr4