Предмет: Математика, автор: milk1405399

|6 - 5x| = 0 решение плиииис​

Приложения:

olenka209079: Все задания, или только |6 - 5x| = 0?
milk1405399: это и ещё 2
olenka209079: любых?
milk1405399: нет
olenka209079: короче, все решила)))

Ответы

Автор ответа: hlllpmeee
1
|6-5x|=0
6-5х=0
-5х=-6
х=6/5 ( это дроби)
Автор ответа: olenka209079
0

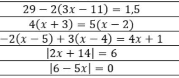
1)29-2(3x-11)=1,5\\29-6x+22=1,5\\51-6x=1,5\\-6x=1,5-51\\-6x=-49,5\\x=8,25\\2)4(x+3)=5(x-2)\\4x+12=5x-10\\4x-5x=-10-12\\-x=-22\\x=22\\3)-2(x-5)+3(x-4)=4x+1\\-2x+10+3x-12=4x+1\\x-2=4x+1\\x-4x=1+2\\-3x=3\\x=3:(-3)\\x=-1\\4)|2x+14|=6\\2x+14=6\\2x+14=-6\\x=-4\\x=-10\\x_1=-10\\x_2=-4\\5)|6-5x|=0\\6-5x=0\\-5x=-6\\x=(-6):(-5)\\x=\frac{6}{5}

Похожие вопросы
Предмет: Русский язык, автор: knyazeva13848
Предмет: Русский язык, автор: 0619552
Предмет: Биология, автор: Anastasia5698