Предмет: Алгебра,
автор: grwtwjgufwe
Даю 35 баллов.
Распишите на листке.
Заранее спасибо.
Приложения:
Ответы
Автор ответа:
1
Объяснение:
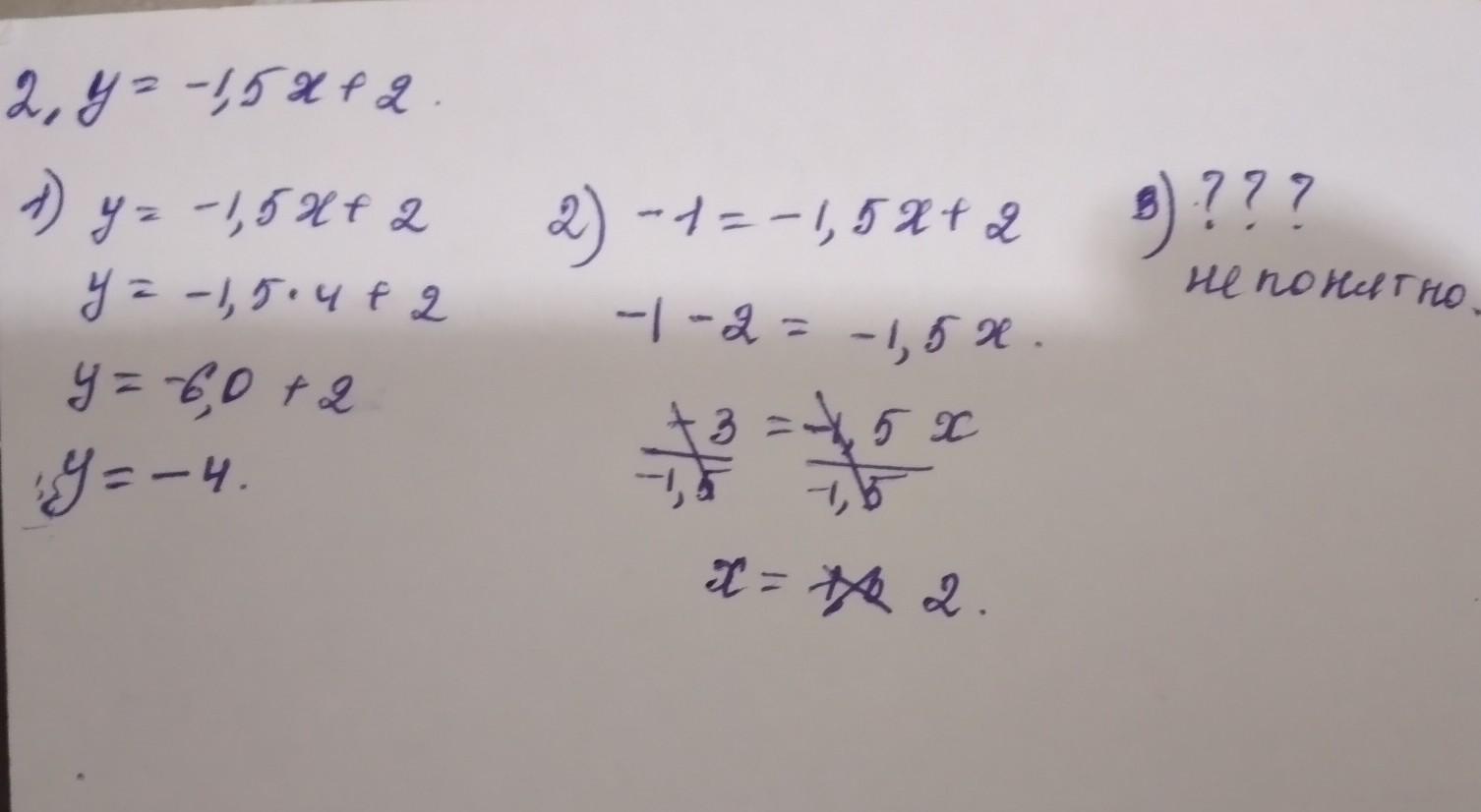
3 чет не понятно.........
Приложения:
txdrf7db44:
А что написано в третьем? «Значение аргумента при которых функция…» дальше не понимаю аха
вот оно что
значение аргумента при которых функция приобретает в них значения.
В них?
Значение аргумента при которых функция приобретает отрицательных значений
А, во, щас тогда пришлю ответ на третье
ок,спасибо)
Автор ответа:
2
Ответ:
вот третье
Объяснение:
нужно просто решить неравенство)))
Приложения:
Можешь пожалуйста еще помочь на вопросы которые я недавно выставила
??
Сейчас попробую)
спасибо большое)
в 4 задании
не выполняя построения найти координаты точек пересечения графика функции y=15x-5 с осями координат
не выполняя построения найти координаты точек пересечения графика функции y=15x-5 с осями координат
в 5 задании
при каком значении b график функции y=2x-b проходит через ечку М(3;1)
при каком значении b график функции y=2x-b проходит через ечку М(3;1)
в 6 задании
поы каком значении k
график функции y=kx+1 проходит через точку М(1;3)
поы каком значении k
график функции y=kx+1 проходит через точку М(1;3)
Похожие вопросы
Предмет: Русский язык,
автор: diankaalieva0
Предмет: Английский язык,
автор: reymun
Предмет: Русский язык,
автор: ллллллллл1
Предмет: Русский язык,
автор: CrUaSaN4Ik
Предмет: Физика,
автор: stas6214